Artigo Destaque dos editores

A vocação hereditária e a concorrência do cônjuge com os descendentes ou ascendentes do falecido.

Art. 1829, I, do Código Civil de 2002

Exibindo página 1 de 3
Leia nesta página:

O Código Civil de 2002 inovou no que tange à matéria sucessória, quanto aos institutos da vocação hereditária, introduzindo a concorrência do cônjuge com os descendentes ou ascendentes do falecido.

Resumo: O presente trabalho tem por escopo a análise dos institutos da vocação hereditária e da concorrência do cônjuge com os descendentes ou ascendentes do falecido, esta instituída com o Código Civil de 2002. Tratando-se a concorrência de um instituto recente, muitos questionamentos pairam na comunidade jurídica, assim, de forma simplificada, partiremos de conceitos e institutos correlatos para a apresentação da interpretação que entendemos mais acertada do artigo 1829, inciso I, do novo Código Civil.

Palavras-chave: sucessão; vocação hereditária; concorrência; exegese.

Sumário: 1. Introdução. 2. Da sucessão hereditária. 2.1. Da sucessão singular e universal. 2.2. Da sucessão legítima e testamentária. 2.3. Dos herdeiros e da meação do cônjuge supérstite. 3. Dos regimes de bens e o artigo 1829, inciso I, do Código Civil. 3.1. Do regime de comunhão parcial de bens. 3.2. Do regime de comunhão universal de bens. 3.3. Do regime da separação obrigatória de bens. 3.4. Do regime da participação final nos aqüestos. 4. Da vocação hereditária. 4.1. Da origem histórica da vocação hereditária. 4.2. Da ordem de vocação hereditária. 4.2.1. Da concorrência. 4.2.2. Da reserva da quarta parte. 5. Do artigo 1830 do Código Civil. 6. Da sucessão e da união estável. 7. Da interpretação do artigo 1829, inciso I, do Código Civil. 8. Considerações Finais. 9. Bibliografia.


1. Introdução

Bem sabemos que o Código Civil de 2002 inovou no que tange à matéria sucessória, dispondo acerca da nova ordem de vocação hereditária no artigo 1829, inciso I. Ocorre que o artigo mencionado é alvo de diversas interpretações, em decorrência de um sinal de pontuação, o qual, de acordo com cada entendimento, faz com que o artigo tenha um ou outro significado.

Faremos uma abordagem sucinta do assunto proposto relacionando alguns institutos paralelos para que, ao final, possamos definir a intentio legis.

Nossa problemática se encerra na questão da real interpretação do referido artigo, buscando entender não somente a vontade do legislador ao formulá-lo, mas também a sua aplicação prática.

Pretendemos com a elaboração do presente trabalho levar ao debate dos operadores do Direito as diferentes possibilidades exegéticas do artigo supra citado, tendo em vista que eles, na prática, já vêm sentindo certo receio na sua aplicação ao caso concreto por ainda não haver sido firmado um entendimento uniforme.


2. Da sucessão hereditária

A sucessão é uma das formas de aquisição da propriedade, em que créditos e obrigações são atribuídos aos sucessores causa mortis.

A sucessão hereditária só é aberta no momento da morte do de cujus; assim, faz-se necessária a fixação do dia e da hora do falecimento, posto que determinarão o momento da saisine.

Pode-se afirmar que o direito sucessório tem a finalidade de regular o destino do patrimônio de alguém. Nesse sentido, o termo sucessão indica a transmissão de direitos, operada inter vivos ou mortis causa.

Maria Helena Diniz, com maestria, nos ensina que a palavra sucessão, em sentido amplo, aplica-se a todos os modos derivados de aquisição do domínio, indicando o ato pelo qual alguém sucede a outrem, investindo-se no todo, ou em parte, nos direitos que lhe pertenciam. Trata-se da sucessão inter vivos. Já em sentido restrito, sucessão é a transferência total ou parcial da herança, por morte de alguém, a um ou mais herdeiros. É a sucessão mortis causa, que no conceito subjetivo é o direito por força do qual alguém recolhe os bens da herança; e, no conceito objetivo, indica a universalidade dos bens do de cujus, caracterizados por seus direitos e encargos 1.

2.1. Da sucessão singular e universal

A sucessão hereditária dá-se de duas formas, a saber: a título universal e a título singular. A primeira caracteriza-se pela transmissão do patrimônio do de cujus, ou de quota parte deste; já a segunda, pela transferência de bens determinados.

Assim, quando é transferida ao sucessor a totalidade do patrimônio do de cujus, ou uma fração dele, abrangendo tanto seu ativo como seu passivo, o sucessor é denominado herdeiro universal.

Diferentemente ocorre na hipótese em que o sucessor recebe bem específico e determinado; é a denominada sucessão singular, que pode se operar em virtude de ato inter vivos ou de falecimento; neste último caso, o sucessor é denominado legatário, sendo aquele que é contemplado em testamento com coisa certa, determinada, precisa e individualizada pelo testador.

Diniz conceitua quanto à sucessão a título universal e a título singular, respectivamente:

Quando houver transferência da totalidade ou de parte indeterminada da herança, tanto no seu ativo como no passivo, para o herdeiro do de cujus, que se subroga, abstratamente, na posição do falecido, como titular da totalidade ou de parte ideal daquele patrimônio no que concerne ao ativo, assumindo a responsabilidade relativamente ao passivo. Quando o testador transfere ao beneficiário apenas objetos certos e determinados, p. ex.: uma jóia, um cavalo, uma determinada casa na rua " X" etc. Nessa espécie é o legatário que sucede ao de cujus sub-rogando-se concretamente na titularidade jurídica de determinada relação de direito, sem representar o morto, pois não responde pelas dívidas da herança 2.

2.2. Da sucessão legítima e testamentária

A sucessão também poderá ser legítima ou testamentária. A primeira se dá por força da lei; já a segunda se dá exclusivamente pela vontade do autor da herança.

Em não havendo testamento ou sendo este caduco, ou revogado, ou julgado nulo, ou não abrangendo todos os bens, a sucessão é legítima ou ab intestato, deferindo-se o patrimônio do falecido às pessoas expressamente indicadas pela lei e de acordo com a ordem de vocação hereditária.

Denominamos herdeiro legítimo aquele que é indicado pela lei, consoante ordem de vocação hereditária, a qual será objeto de estudo a seguir; e denominamos herdeiro testamentário aquele que é nomeado ou instituído, designado pelo testador no ato de última vontade 3.

O brasileiro -diga-se - não tem o costume de elaborar testamento, uma vez que temos uma cultura negativista a esse respeito.

2.3. Dos herdeiros necessários e da meação do cônjuge supérstite

O novo Código Civil elenca, no artigo 1845, as pessoas que o legislador selecionou para que ocupassem a categoria de herdeiros necessários. Preceitua o dispositivo: "São herdeiros necessários os descendentes, os ascendentes e o cônjuge".

Herdeiros necessários são aqueles que não podem ser afastados da sucessão pela simples vontade do sucedido; portanto, apenas quando fundamentado em fato caracterizador de ingratidão por parte de seu herdeiro necessário poderá o autor da herança dela afastá-lo; e, ainda assim, apenas se tal fato estiver previsto em lei como autorizador de tão drástica conseqüência.

Como esclarece Silvio de Salvo Venosa:

O cônjuge vem, no Código Civil de 1916, colocado em terceiro lugar na ordem de vocação hereditária, após os descendentes e ascendentes. Não é herdeiro necessário, podendo, pois, ser afastado da sucessão pela via testamentária. Nesse código, o cônjuge herda na ausência de descendentes ou ascendentes. A dissolução da sociedade conjugal exclui o cônjuge da vocação sucessória [...]. A doutrina sempre defendeu a colocação do cônjuge como herdeiro necessário, posição que veio a ser conquistada com o Código Civil de 2002. Isso porque, no caso de separação de bens, o viúvo ou a viúva poderiam não ter patrimônio próprio, para lhes garantir a sobrevivência 4.

O cônjuge é herdeiro, sem prejuízo da meação em razão do regime de bens. É desta forma herdeiro necessário, tendo direito real de habitação em qualquer regime de bens, caso a herança seja composta por um único imóvel residencial. Entendemos justa a proteção estendida ao cônjuge, tendo em vista que a maioria dos casais constitui seu patrimônio conjuntamente, não parecendo certo ser excluído aquele da sucessão causa mortis.

Os descendentes são os parentes em linha reta, isto é, os filhos, netos, bisnetos, etc contando-se, sem limite, os graus de parentesco pelo número de gerações. É irrelevante para o direito ter sido o descendente havido ou não da relação de casamento, ou mesmo por adoção; todos herdam em igualdades de condições 5.

Quando o falecido houver deixado herdeiro necessário, seu patrimônio se divide, por assim dizer, em duas partes: a quota disponível e a legítima, sendo esta cabente àqueles.

Insta ressaltar que a meação é o direito que uma pessoa tem em relação aos bens comuns; assim, podemos dizer que se traduz na metade dos bens da comunhão. No direito das sucessões, a meação é a parte que cabe ao cônjuge supérstite, parte esta que compreende a metade dos bens do acervo.

Sylvia Maria Mendonça do Amaral assevera:

[...] No regime da comunhão universal de bens e no da comunhão parcial de bens, o cônjuge sobrevivente tem direito à metade dos bens do casal em virtude da meação. Aqui não estamos falando em direitos sucessórios, herança e sim em parte dos bens que já pertenceriam ao cônjuge em decorrência do regime de casamento e não serão objeto de inventário e partilha entre os herdeiros 6.

Não podemos confundir a meação com a herança propriamente dita, uma vez que aquela representa o direito de cada sócio da sociedade conjugal, consistente em metade dos bens. Quanto à herança, será representada pela outra metade dos bens.


3. Dos regimes de bens e o artigo 1829, inciso I, do Código Civil

Para que possamos ter um melhor entendimento da matéria, faremos uma breve explanação acerca dos regimes de bens, haja vista que estão vinculados diretamente com a interpretação do artigo 1829, inciso I, do Código Civil.

O regime de bens é o instituto que determina a comunicação ou não do patrimônio do casal após a realização do casamento; tem por finalidade regular o patrimônio, anterior e posterior ao casamento, e também quanto à administração dos bens.

Assim, o regime de bens pode ser visto como uma conseqüência jurídica do casamento, que se viabiliza com o pacto antinupcial, o qual é celebrado de forma solene, mediante instrumento público, sob pena de nulidade.

Não havendo convenção, ou sendo ela nula ou ineficaz, vigorará, quanto ao regime de bens entre os cônjuges, o regime da comunhão parcial de bens. Com a falta de manifestação do casal no sentido de escolha do regime o Estado supre sua vontade.

Anteriormente, com o Código Civil de 1916, tínhamos quatro regimes de bens, a saber: comunhão universal de bens, comunhão parcial de bens, separação de bens e dotal. Com a vigência do Código Civil de 2002 foram disciplinados os seguintes regimes, a saber: a) comunhão parcial de bens; b) comunhão universal de bens; c) participação final nos aqüestos e d) separação de bens, suprimindo-se o regime dotal, totalmente em desuso na atualidade. Porém, passamos a contar com um regime novo: a participação final nos aqüestos.

Fique sempre informado com o Jus! Receba gratuitamente as atualizações jurídicas em sua caixa de entrada. Inscreva-se agora e não perca as novidades diárias essenciais!
Os boletins são gratuitos. Não enviamos spam. Privacidade Publique seus artigos

3.1. Do regime de comunhão parcial

Trata-se do regime oficial de bens no casamento, pelo qual se comunicam apenas e tão somente os bens adquiridos na constância do casamento, e revelando, por isso mesmo, um acervo de bens que pertencerão exclusivamente ao marido ou exclusivamente à mulher; ou que pertencerão a ambos.

Dispõe o artigo 1.658 do Código Civil: "no regime de comunhão parcial, comunicam-se os bens que sobrevierem ao casal na constância do casamento, com as exceções dos artigos seguintes".

Venosa, com propriedade, preconiza:

Uma vez dissolvida a comunhão, cada cônjuge retirará seus bens particulares e, serão divididos os bens comuns. [...] se o consorte firmara compromisso de compra e venda de imóvel antes do casamento, esse bem não se comunica, ainda que a escritura definitiva seja firmada após, salvo se houver prova de que houve contribuição financeira do outro cônjuge após o casamento (7).

De conformidade com o artigo 1.662 do Código Civil, presumem-se adquiridos na constância do casamento os bens móveis, quando não se provar que o foram em data anterior.

É importante ressaltar que as dívidas contraídas por um dos cônjuges, na administração de seus bens particulares e em benefício destes, não obrigam os bens comuns.

3.2. Do regime de comunhão universal de bens

Anteriormente, estatuía o Código Civil de 1916 que o regime de comunhão universal de bens era, até o advento da Lei do Divórcio, considerado como o regime legal.

De acordo com o artigo 1.667 do novo Código Civil: "O regime de comunhão universal importa a comunicação de todos os bens presentes e futuros dos cônjuges e suas dívidas passivas, com as exceções do artigo seguinte".

Quando analisamos este regime notamos que a comunhão não se dá exclusivamente quanto ao patrimônio, mas também há uma comunhão de interesses.

Com a dissolução da sociedade conjugal, cabe ao casal efetuar a divisão do ativo e do passivo, visando com isso a cessação de responsabilidade de cada um dos cônjuges para com os credores do outro (Artigo 1671 do Código Civil).

3.3. Do regime da separação obrigatória de bens

O regime da separação obrigatória de bens está disposto no artigo 1641 do Código Civil:

É obrigatório o regime da separação de bens no casamento:

I - das pessoas que o contraírem com inobservância das causas suspensivas da celebração do casamento;

II - da pessoa maior de sessenta anos;

III - de todos os que dependerem, para casar, de suprimento judicial.

Há distinção entre o regime da separação convencional de bens e o da separação obrigatória (legal) de bens; no primeiro, os nubentes estipulam livremente em contrato (pacto antenupcial) antes de celebrado o casamento, o que melhor lhes convém quanto aos seus bens; já no segundo, é obrigatória a separação dos bens, decorrendo esta da vontade da lei 8.

Tendo em vista a súmula 377 do Supremo Tribunal Federal, a qual estatui que "no regime da separação legal de bens, comunicam-se os adquiridos na constância do casamento", percebemos uma incongruência muito grande com relação ao significado e finalidade do regime de bens em comento. Desta forma, podemos enfatizar que tal súmula deve ser revogada, levando-se em conta as divergências ocasionadas e, acima de tudo, sua falta de coerência com o contexto em que se insere.

3.4. Do regime da participação final nos aqüestos

O novo regime de bens está disposto no artigo 1672 do Código Civil, nos seguintes termos:

No regime de participação final nos aqüestos, cada cônjuge possui patrimônio próprio, consoante disposto no artigo seguinte, e lhe cabe, à época da dissolução da sociedade conjugal, direito à metade dos bens adquiridos pelo casal, a título oneroso, na constância do casamento.

Venosa explicita quanto ao novo regime de bens:

[...] Trata-se de um regime híbrido, no qual se aplicam regras da separação de bens e da comunhão de aqüestos. [...] Esse regime, com muitas nuanças e particularidades diversas, é adotado também em outras legislações. Sua utilidade maior, em princípio, é para aqueles cônjuges que atuam em profissões diversas em economia desenvolvida e já possuem um certo patrimônio ao casar-se ou a potencialidade profissional de fazê-lo posteriormente (9).

Nelson Nery Junior fala das características do regime em comento:

Pelo regime de participação final dos aqüestos, os cônjuges vivem sob verdadeira separação de bens, vale dizer, cada cônjuge tem a livre administração de seus próprios bens, enquanto durar a sociedade conjugal. A eficácia desse regime de bens quanto à efetiva participação final dos aqüestos só surge com o fato jurídico da dissolução da sociedade conjugal. Antes disso o casal vive sob o regime da separação de bens. Na constância da sociedade conjugal, tudo que os cônjuges adquirem integrará, respectivamente, a massa do patrimônio de cada um. No momento da dissolução da sociedade conjugal serão apurados os bens adquiridos na constância da sociedade conjugal, a título oneroso e, divididos pela metade para cada um dos cônjuges (10).

Hironaka assevera quanto ao novo regime de bens:

[...] cada cônjuge possui patrimônio próprio, que administra e do qual pode dispor livremente, se de bens móveis se tratar, dependendo da outorga conjugal apenas para a alienação de eventuais bens imóveis (CC, arts. 1.672. e 1.673). Mas se diferencia do regime da separação de bens porquanto, no momento em que se dissolve a sociedade conjugal por rompimento dos laços entre vivos ou por morte de um dos membros do casal, o regime de bens como que se transmuda para adquirir características do regime da comunhão parcial, pelo que os bens adquiridos onerosamente e na constância do matrimônio serão tidos como bens comuns desde a sua aquisição, garantindo-se, assim, a meação ao cônjuge não-proprietário e não-administrador 11.

Do exposto, podemos concluir que são particulares os bens adquiridos antes do casamento e aqueles adquiridos na constância do casamento, sem qualquer contribuição financeira do outro cônjuge. A grande vantagem desse regime de bens é que não há discussão patrimonial durante o casamento, uma vez que a autonomia patrimonial dos cônjuges é patente.


4. Da vocação hereditária

A expressão vocação, do latim, significa convocação, pois vem de vocatio, sendo a convocação legal de alguém para que venha receber a herança ou a parte que lhe cabe. Tal chamamento obedecerá a ordem estipulada pelo Código Civil, conforme veremos em item apropriado. No entendimento de Silvio Rodrigues, a ordem de vocação hereditária é uma relação preferencial estabelecida pela lei, das pessoas que são chamadas a suceder ao finado 12.

Na sucessão legítima, são convocados os herdeiros segundo a ordem de vocação hereditária estatuída no inciso I do artigo 1829 do Código Civil. Maria Helena Diniz ensina:

Todavia, toda regra comporta exceção, pois há casos de sucessão anômala ou irregular, admitidos por lei, de variação da ordem de vocação hereditária, ou seja, em que não se aplica o princípio de que a existência de herdeiro de uma classe exclui da sucessão os herdeiros da classe subseqüente [...]. Assim, a ordem de vocação hereditária, estabelecida no artigo 1829 do Código Civil, pode ser alterada tratando-se de bens existentes no Brasil, pertencentes a estrangeiro falecido, casado com brasileira e com filhos brasileiros, se a lei nacional do de cujus for mais favorável àquelas pessoas do que o seria a brasileira. [...] A lei nº 6.858/80, regulamentada pelo Decreto nº 85.845/81, bem como o art. 20. da Lei n. 8.036/90, regulamentada pelo Decreto nº 99.684/90, que mandam pagar, em quotas iguais, aos dependentes habilitados perante a Previdência Social e, na sua falta, aos sucessores previstos na lei civil, indicados em alvará judicial, independentemente de inventário ou arrolamento.[...] Os sucessores do de cujus não poderão levantar esses valores em detrimento das pessoas inscritas na Previdência Social. [...] As quotas somente poderão ser levantadas pelos sucessores, mediante alvará judicial, se ficar comprovada a inexistência de dependentes habilitados [13].

Na hipótese de o indivíduo desejar dispor de seus bens de maneira particular, deve fazê-lo por testamento, conforme já afirmamos anteriormente; se não o fizer, significa que deseja que seu patrimônio se transmita por inteiro aos herdeiros necessários.

4.1. Da origem histórica da vocação hereditária

No antigo Direito Romano é sabido que somente os varões herdavam, o que caracterizava uma significativa desigualdade entre homens e mulheres. Dentre os homens, havia o chamado direito da primogenitura, com a finalidade única de conservar a propriedade nas mãos de um só ramo familiar. Ao primogênito, por conseguinte, cabia a totalidade da herança e os demais irmãos nada recebiam a esse título.

Atualmente, não verificamos os privilégios da varonia e da primogenitura, pertencendo eles ao passado, uma vez que há uma norma constitucional que dispõe que todos são iguais perante a lei (artigo 5º da CF/ 88 caput). Desta forma, homens e mulheres têm direitos iguais, não havendo também mais distinção entre filhos legítimos e ilegítimos. Falamos, pois, em igualdade e uniformização da transmissão hereditária; conseqüentemente, o direito sucessório é único, valendo para todos.

Fernanda de Souza Rabello reporta-nos:

Pelo Direito Brasileiro anterior ao Código Civil, prevalecia na sociedade conjugal o regime da comunhão de bens, na falta de contrato antenupcial em contrário; por isso, cabia ao consorte supérstite, por direito próprio, não como herança, a metade do acervo resultante de se confundirem os patrimônios dos dois esposos; tocava-lhe em partilha a outra metade, se não havia descendentes, ascendentes, nem colaterais até o décimo grau. No regime das Ordenações o cônjuge herdava, em quarto lugar, após os colaterais. Somente com o Decreto nº 1.839/1907, conhecida por Lei Feliciano Pena, passou a ocupar o terceiro lugar, no que foi seguido pelo Código Civil, no seu artigo 1.611. A Lei nº 4.121 de 1962 e, posteriormente a Lei nº 6.015/77, deram nova redação a este artigo. Com a edição da nova Lei nº 10.406 de 10-01-2002, o cônjuge passa a ocupar lugar de destaque sendo-lhe atribuída a qualidade de herdeiro necessário [14].

No Direito Romano a liberdade para testar era absoluta, abrangendo todo o patrimônio do de cujus; os romanos abominavam a idéia da morte sem testamento. Já no antigo Direito Germânico, desconhecia-se a sucessão testamentária, entendendo que a vocação hereditária era feita por Deus, e dessa forma, somente os ligados pelo sangue eram considerados herdeiros.

Podemos dizer que sofremos influências de ambos os sistemas, uma vez que atualmente os parentes herdeiros pelo sangue e também o cônjuge supérstite são sucessores legítimos, tendo ainda o autor da herança a possibilidade de eleger herdeiros testamentários.

4.2. Da ordem de vocação hereditária

As disposições do Código Civil de 2002 relativas à ordem de vocação hereditária não se aplicam à sucessão aberta antes de sua vigência, prevalecendo o disposto no artigo 2041 do Código Civil de 1916.

O artigo 1829 do Código Civil dispõe acerca da ordem de vocação hereditária, nos seguintes termos:

A sucessão legítima defere-se na ordem seguinte:

I – aos descendentes, em concorrência com o cônjuge sobrevivente, salvo se casado este com o falecido no regime da comunhão universal, ou no da separação obrigatória de bens; ou se, no regime da comunhão parcial, o autor da herança não houver deixado bens particulares;

II – aos ascendentes, em concorrência com o cônjuge;

III – ao cônjuge sobrevivente;

IV – aos colaterais.

Como delineado acima, na hipótese de o autor da herança deixar descendentes ou ascendentes, só os primeiros herdarão, pois a existência de descendentes afasta da sucessão os ascendentes.

Os descendentes são herdeiros por excelência, uma vez que serão convocados primeiramente, adquirindo, dessa forma, os bens por direito próprio. Como já sabemos, são ainda herdeiros necessários, significando dizer que o autor da herança poderá dispor livremente de seus bens, respeitando a legítima, ou seja, a parte indisponível da herança.

Cônjuge supérstite é o cônjuge que sobreviveu ao morto e que dele não se encontrava separado, nas hipóteses e condições enumeradas no artigo 1830 do Código Civil; porém, nem todo cônjuge que sobrevive ao morto é seu herdeiro.

Conforme já delineado anteriormente, o cônjuge sobrevivente encontra-se investido numa posição destacada no que se refere à sucessão legítima, posto que passa a ser considerado herdeiro necessário. Além disso, concorre com os descendentes do de cujus, dependendo do regime de bens do casamento.

Giselda Maria Fernandes Novaes Hironaka expõe:

O novo Código Civil, apesar de manter a ordem de vocação hereditária tradicionalmente aceita pelo ordenamento jurídico brasileiro, garante ao cônjuge supérstite uma dada posição de igualdade, e por vezes até de primazia, relativamente aos descendentes e ascendentes – que continuam a compor a primeira e a segunda classes de vocação hereditária – chamados a herdar [15].

Maria Helena Diniz esclarece:

Ante o princípio de que, dentro da mesma classe, os mais próximos excluem os mais remotos, os filhos serão chamados à sucessão ab intestato do pai, recebendo cada um (sucessão por cabeça) quota igual da herança (CC, art. 1.834), excluindo-se os demais descendentes, embora não obste a convocação dos filhos de filho falecido do de cujus (sucessão por estirpe), por direito de representação [16].

Ocorre que poderá haver descendentes de graus diversos; nessa hipótese, a sucessão se dará por cabeça e por estirpe, sempre dentro do mesmo grau.

Quando o montante total é dividido pelo número de linhagens do de cujus, falamos em sucessão por estirpe, podendo-se citar o caso de um indivíduo que falece deixando três filhos, sendo um pré-morto, e quatro netos, estes descendentes do filho pré-morto. Nesta hipótese, a herança será dividida em três partes iguais, dividindo-se uma delas entre os quatro netos.

Os descendentes se encontram na primeira classe de sucessores; vale ressaltar que se trata de todos os descendentes e não apenas dos filhos. Não havendo filhos vivos, são chamados os netos e assim ad infinitum; sucedem por cabeça, se do mesmo grau.

Na falta de descendentes e ascendentes, será deferida a sucessão por inteiro ao cônjuge sobrevivente, tendo em vista o disposto no artigo 1.857 do novo Código Civil: "concorrendo com ascendentes em primeiro grau, ao cônjuge tocará 1/3 (um terço) da herança; caber-lhe-á a metade desta se houver um só ascendente, ou se maior for aquele grau".

Assim, o cônjuge sempre concorrerá com os ascendentes, qualquer que seja o regime matrimonial de bens, devendo-se considerar: a) concorrendo com dois ascendentes de primeiro grau, o cônjuge recebe um terço da herança; b) concorrendo com um ascendente de primeiro grau, recebe a metade da herança; c) concorrendo com um ou mais ascendentes de segundo ou maior grau, o cônjuge tem assegurada a metade da herança.

Não existindo descendentes nem ascendentes, a herança ficará, por inteiro, com o cônjuge sobrevivente, ao passo que na falta de descendentes, ascendentes e cônjuge sobrevivente, herdam os colaterais, assim entendidos os parentes até o quarto grau.

Na hipótese de concorrência entre irmãos e sobrinhos, estes, filhos do irmão pré-morto, os primeiros sucedem por cabeça e os últimos, por estirpe.

O Poder Público não é herdeiro, não lhe sendo reconhecido o direito da saisine; entretanto, o fundamento de sua sucessão é político-social, em reconhecimento do fato da ordem jurídico-econômica ter possibilitado ao autor da herança o acúmulo patrimonial transmitido 17.

4.2.1. Da concorrência

A concorrência, no que tange ao direito sucessório, é um instituto recente, introduzido em nosso sistema legal com a vigência do Código Civil de 2002.

Como já dissemos anteriormente, foi atribuída posição mais favorável ao cônjuge, pois, além de ser herdeiro necessário, concorre com descendentes, dependendo do regime de bens adotado no casamento; ou com os ascendentes, em não havendo descendentes.

A exceção a essa regra são as pessoas casadas sob o regime de comunhão universal ou separação obrigatória de bens, ou ainda, no caso da comunhão parcial, se o falecido não deixou bens particulares. Importante ressaltar que a concorrência não foi estendida aos companheiros (união estável).

Miguel Reale nos explica:

[...] durante dezenas de anos vigeu no Brasil, como regime legal de bens, o regime de comunhão universal, no qual o cônjuge sobrevivo não concorre na herança, por já ser "meeiro". Com o advento da Lei 6.515, de 21 de dezembro de 1977 (Lei do Divórcio), o regime legal da comunhão de bens no casamento passou a ser o da comunhão parcial. Ampliado o quadro, tornou-se evidente que o cônjuge, sobretudo quando desprovido de recursos, corria o risco de nada herdar no tocante aos bens particulares do falecido, cabendo a herança por inteiro aos descendentes ou aos ascendentes. Daí a idéia de tornar o cônjuge herdeiro no concernente aos bens particulares do autor da herança [18].

Contemporiza o precitado jurista:

[...] cabe assinalar que outra inovação do novo Código Civil a favor do cônjuge sobrevivo é a prevista no artigo 1.832, de acordo com a qual ele concorre com os descendentes, tendo direito a "quinhão igual ao dos que sucederem por cabeça, não podendo a sua quota ser inferior à quarta parte da herança, se for ascendente dos herdeiros com que concorrer [19].

Com a nova ordem de vocação hereditária, podemos afirmar que o cônjuge participa como herdeiro juntamente com descendentes, ou, na falta destes, com os ascendentes, obtendo, muitas vezes, condições mais vantajosas sobre seus co-herdeiros 20.

Aduz o artigo 1832 do Novo Código Civil que "em concorrência com os descendentes caberá ao cônjuge quinhão igual aos dos que sucederem por cabeça [...]". Nesse contexto, Flávio Augusto Monteiro de Barros entende que o cônjuge sobrevivente concorrerá na herança com os descendentes por cabeça; nesse sentido, deduz que o cônjuge concorre na totalidade da herança 21.

A totalidade da herança é uma questão que deve ser cuidadosamente apreciada, pois, dependendo do regime de bens eleito pelo casal, ela será constituída pelos bens particulares do de cujus ou abrangerá metade do patrimônio total.

A concorrência do cônjuge supérstite, entretanto, não pode ser vista desprezando-se elementos importantes que devem ser analisados. Em se tratando então de concorrência, tendo o cônjuge supérstite casado sob os regimes da separação voluntária de bens e ou de participação final nos aqüestos, concorrerá de maneira diversa.

Quando versar sobre o regime da separação voluntária de bens, o cônjuge supérstite concorrerá na totalidade da herança, sendo esta representada pelos bens particulares do de cujus.

Já quando nos referimos ao regime da participação final nos aqüestos, em que está presente o instituto da meação (regulado pelo direito de família), não faz sentido o cônjuge sobrevivente concorrer na totalidade da herança, como ocorre no regime da separação voluntária de bens.

Entendemos que a concorrência deve existir apenas em relação aos bens particulares do falecido, visto que tal regime se assemelha, quanto à dissolução do casamento, ao regime de comunhão parcial de bens, senão vejamos: analisando o regime da comunhão parcial de bens, tendo o de cujus deixado bens particulares, caberá ao cônjuge sua meação, concorrendo quanto aos bens particulares, visto que a intenção do legislador é a de amparar o cônjuge sobrevivente; não sendo, pois, coerente concorrer na totalidade da herança.

A fim de ilustrar melhor tal temática, propomos um exemplo: imaginemos que o cônjuge supérstite, casado sob o regime da comunhão parcial de bens, existindo bens particulares do de cujus, contraia novo matrimônio sob o regime da comunhão universal de bens; caso a concorrência englobe a totalidade da herança, temos como conseqüência o prejuízo patrimonial dos descendentes do cônjuge sobrevivente, advindos do primeiro casamento, pois os bens particulares deste constituirão a mesma massa patrimonial do novo casal, existindo, assim, a meação.

Importante atentarmos para o fato de que o Código Civil de 2002 instituiu a concorrência do cônjuge em determinados casos, porém, não mencionou a qualidade do cônjuge para tal, como por exemplo, ser este hipossuficiente. Suponhamos que o cônjuge supérstite tenha patrimônio mais significativo que o de cujus, não necessitando da proteção ampla dirigida a ele; aqui a desvantagem patrimonial sofrida pelos descendentes do de cujus é clara e significativa. Destarte, pensamos que o legislador deveria ter explicitado sua intenção, não deixando margem a dúvidas quanto ao assunto.

Entendemos por bem que a concorrência deveria ser aclarada nas hipóteses em que o cônjuge sobrevivente não tivesse patrimônio suficiente para a manutenção do estilo de vida que mantinha com seu cônjuge.

4.2.2. Da reserva da quarta parte da herança

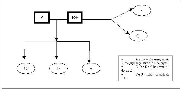
Uma outra questão problemática é a da concorrência do cônjuge supérstite com filhos do de cujus e filhos comuns do casal; podendo ocorrer também a concorrência do cônjuge supérstite com descendentes apenas do de cujus.

O artigo 1832 do Código Civil não deixa qualquer dúvida quanto à concorrência do ascendente com seus descendentes, porém, nada explicita quanto à concorrência com seus descendentes, juntamente com os do de cujus, assim como também nada dispõe acerca da concorrência com filhos somente do falecido.

No magistério de Silvio de Salvo Venosa 22, o cônjuge sobrevivo concorrendo com descendentes do morto dos quais não seja ascendente, não gozará da reserva da quarta parte da herança, sendo esta dividida em partes iguais com os que recebem por cabeça.

Nelson Nery Junior sintetiza:

A norma prevê duas situações: a) a primeira, de os descendentes do morto não serem descendentes do cônjuge sobrevivente. Nesse caso, tantos quantos sejam os herdeiros do mesmo grau descendente receberão com o cônjuge sobrevivente quotas iguais da herança [...]. b) a segunda hipótese versa sobre concorrerem à herança o cônjuge sobrevivente com descendentes do morto, que também os são seus. Nesse caso, o cônjuge terá direito igual à mesma parte devida aos herdeiros descendentes, desde que sua quota não venha a ser inferior á quarta parte da herança partilhada 23.

Para demonstrarmos a complexidade de tal fato, sugerimos uma casuística: havendo a concorrência do cônjuge sobrevivente com filhos comuns do casal e também filhos do de cujus, sendo reservada a quarta parte da herança ao cônjuge sobrevivo, constatamos que os filhos (somente) do falecido sofrerão uma desvantagem patrimonial em relação aos outros descendentes (filhos comuns), pois tudo indica que estes herdarão futuramente a quarta parte que foi reservada ao seu ascendente. Desta forma, não podemos compactuar com a desigualdade entre os filhos do de cujus, que, independentemente de sua origem, devem ter seus direitos resguardados pelo princípio da isonomia constitucional.

Nesse diapasão, a reserva da quarta parte da herança somente se verificará quando o cônjuge sobrevivo for ascendente daqueles com que concorrer; entender de maneira diversa seria dar margem a um grande retrocesso no campo da igualdade constitucional entre irmãos.

Figura 1.

Assuntos relacionados
Sobre os autores
João Agnaldo Donizeti Gandini

juiz de Direito em Ribeirão Preto (SP), mestrando pela Unesp, professor da Faculdade de Direito da Universidade de Ribeirão Preto

Cristiane Jacob

acadêmica de Direito pela Universidade de Ribeirão Preto

Como citar este texto (NBR 6023:2018 ABNT)

GANDINI, João Agnaldo Donizeti ; JACOB, Cristiane. A vocação hereditária e a concorrência do cônjuge com os descendentes ou ascendentes do falecido.: Art. 1829, I, do Código Civil de 2002. Revista Jus Navigandi, ISSN 1518-4862, Teresina, ano 9, n. 415, 20 ago. 2004. Disponível em: https://jus.com.br/artigos/5543. Acesso em: 29 abr. 2026.

Leia seus artigos favoritos sem distrações, em qualquer lugar e como quiser

Assine o JusPlus e tenha recursos exclusivos

  • Baixe arquivos PDF: imprima ou leia depois
  • Navegue sem anúncios: concentre-se mais
  • Esteja na frente: descubra novas ferramentas
Economize 17%
Logo JusPlus
JusPlus
de R$
29,50
por

R$ 2,95

No primeiro mês

Cobrança mensal, cancele quando quiser
Assinar
Já é assinante? Faça login
Publique seus artigos Compartilhe conhecimento e ganhe reconhecimento. É fácil e rápido!
Colabore
Publique seus artigos
Fique sempre informado! Seja o primeiro a receber nossas novidades exclusivas e recentes diretamente em sua caixa de entrada.
Publique seus artigos