Artigo Destaque dos editores

Condições análogas a escravo: normatização e efetividade

Exibindo página 1 de 3
22/05/2011 às 16:22
Leia nesta página:

O trabalho análogo ao de escravo pode ser erradicado através de medidas legislativas, atacando as práticas criminosas do trabalho forçado na sua origem, eliminando outros aspectos de exploração laboral e promovendo oportunidades de trabalho digno.

Sumário: 1 INTRODUÇÃO. 2 CONCEITO DE TRABALHO DIGNO. 3 TRABALHO EM CONDIÇÃO ANÁLOGA À DE ESCRAVO. 4 CONSIDERAÇÕES ACERCA DA PEC 438. 5 O ALICIAMENTO E A "ESCRAVIDÃO" . 6 MECANISMOS DE COMBATE. 6.1 Ministério do Trabalho e Emprego 6.1.1 Medidas de fiscalização, combate e repressão: o Grupo Especial de Fiscalização Móvel 6.1.2 Cadastro de empregadores infratores: "Lista Suja" . 6.1.3.Medidas de assistência e inclusão. 6.2 Ministério do Público do Trabalho. 6.2.1.Ação Anulatória. 6.2.2.Ação Civil Pública. 6.2.3.Ação Preventiva. 6.2.4.Inquérito Civil Público. 6.2.5.Termo de Ajustamento de Conduta (TAC) . 7 ATUAÇÃO DA JUSTIÇA DO TRABALHO. 8 O TERCEIRO SETOR E O COMBATE AO TRABALHO ESCRAVO. 8.1ONG Repórter Brasil.. 8.2 Comissão da Pastoral da Terra. 8.3 Entidades Sindicais. 9 CONSIDERAÇÕES FINAIS. REFERÊNCIAS.


1. INTRODUÇÃO

Através da Lei nº 3.353, de 13 de maio de 1888 (Lei Áurea), cujo projeto fora de autoria de Rodrigo Augusto da Silva, ministro dos Negócios da Agricultura, Comércio e Obras Públicas, a princesa Isabel extinguiu formalmente a escravidão no Brasil.

Passados mais de cem anos dessa data, o pais ainda se vê na necessidade de tipificar e combater a situação de "Trabalhadores em Condições Análogas a Escravo".

A partir de uma simples análise bibliográfica e factual, torna-se notório que mesmo com as garantias asseguradas aos trabalhadores, ainda há uma intensa exploração daqueles que se encontram em condições de extrema miserabilidade. São pessoas que possuem apenas a força de trabalho dela se valendo como única forma de modificar a realidade em que vivem. Por sua vez, os proprietários rurais que costumeiramente exploram o trabalho análogo ao de escravo são pessoas instruídas, envolvidas na seara do agronegócio, que vivem nas grandes metrópoles do país, com excelente assessoria contábil e jurídica para suas fazendas e empresas, e que se enriquecem gradativamente às custas de um sistema fiscalizatório punitivo ainda bastante frágil e ineficaz em nossa realidade.

O trabalho análogo ao de escravo pode ser erradicado através de diversas medidas, quer de cunho legislativo, quer atacando as práticas criminosas do trabalho forçado na sua origem, salvando e reabilitando as suas vítimas, quer eliminando outros aspectos de exploração laboral e promovendo oportunidades de trabalho digno para todos.

Enfrentar esta grande mazela social, com determinação constitui uma forma concreta de conceder efeito prático à visão de justiça social, com vista a uma globalização justa, definida na Declaração adotada pela Conferência Internacional do Trabalho, em junho de 2008.

No presente estudo, pretendemos abordar sucintamente as convenções internacionais que tratam da escravidão contemporânea, que a nosso ver é a antítese do trabalho digno, bem como identificar em nossa legislação nacional as garantias e institutos que viabilizam a aplicabilidade da lei trabalhista, em vista da conseqüente erradicação do trabalho escravo contemporâneo.


2. CONCEITO DE TRABALHO DIGNO

Segundo a Organização Internacional do Trabalho (OIT), trabalho digno é assim conceituado:

[...] o conceito de trabalho digno resume as aspirações do ser humano no domínio profissional e abrange vários elementos: oportunidades para realizar um trabalho produtivo com uma remuneração equitativa; segurança no local de trabalho e proteção social para as famílias; melhores perspectivas de desenvolvimento pessoal e integração social; liberdade para expressar as suas preocupações; organização e participação nas decisões que afetam as suas vidas; e igualdade de oportunidades e de tratamento para todas as mulheres e homens".1 Ainda assevera Juan Somavia (Diretor Geral da OIT) que Atualmente o principal objetivo da Organização consiste em promover oportunidades para que mulheres e homens possam ter acesso a um trabalho digno e produtivo, em condições de liberdade, equidade e dignidade. (ORGANIZAÇÃO INTERNACIONAL DO TRABALHO, 2009, p. 05).

Nos dizeres de Joaquim Carlos Salgado (1996), o sentido do trabalho digno está intimamente relacionado ao desenvolvimento da liberdade pelo ser humano, permitindo-lhe ampla formação enquanto ser racional.

Vale salientar que as diversas conceituações existentes de trabalho digno não se diferenciam substancialmente, pois a própria força da palavra revela seu real significado, sendo que dignidade está aliada ao bem estar do homem, assim como o trabalho à sua necessidade de interação com todo o complexo sistema organizacional da sociedade em que vive. O texto constitucional vigente é marcado pela presença constante das garantias trabalhistas, bem como da valorização do trabalho, inserindo-o em um contexto de Estado de Bem-Estar Social. Vejamos que já em seu primeiro artigo, inciso quarto, impõe como um dos seus fundamentos os valores sociais do trabalho e da livre iniciativa. No artigo sexto, declara ser o trabalho um direito social da população brasileira. Em seu artigo 170, estabelece que a ordem econômica será fundada na valorização do trabalho humano e na livre iniciativa, tendo por fim assegurar a todos existência digna, conforme os ditames da justiça social. Finaliza no artigo 193 estabelecendo que a ordem social terá como base o primado do trabalho e como objetivo o bem-estar e justiça sociais.

Gabriela Neves Delgado afirma que a Constituição da República Federativa do Brasil de 1988 contribuiu para valorização da dignidade no trabalho, sobretudo ao:

[...] incorporar modalidade sofisticada e bem sucedida de organização sócio-econômica, privilegiando, no plano teórico, a construção de uma sociedade livre, justa e solidária, fundada na dignidade do ser humano e no primado do trabalho e do emprego, subordinando a livre iniciativa (que também é reconhecida e valorizada) à sua função social. (DELGADO, 2006, p. 15).

Neste contexto, torna-se objetiva a convergência da valorização dada ao trabalho para outro fundamento constitucional, que é o da dignidade da pessoa humana.

A partir desse verdadeiro paradigma - o modelo constitucional do trabalho digno - , passaremos a analisar as especificidades normativas para o combate e erradicação do "trabalho escravo contemporâneo", denominado legalmente como "trabalho em condições análogas a de escravo".


3. TRABALHO EM CONDIÇÃO ANÁLOGA À DE ESCRAVO

Segundo o entendimento de Lívia Mendes Moreira Miraglia pode-se inferir que:

[...] o trabalho escravo contemporâneo é aquele que se realiza mediante a redução do trabalhador a simples objeto de lucro do empregador. O obreiro é subjugado, humilhado e submetido a condições degradantes de trabalho e, em regra, embora não seja elemento essencial do tipo, sem o direito de rescindir o contrato ou de deixar o local de labor a qualquer tempo. (MIRAGLIA, 2008, p. 135).

São vários os instrumentos nacionais e supranacionais que visam o combate à exploração de trabalhadores; todavia, é comum depararmos com esta situação, que retira de milhares de homens sua única possibilidade de progresso e que, portanto, extirpa toda sua condição de dignidade humana. Os interessados neste tipo de crime apresentam as mesmas semelhantes, valendo-se da fragilidade de seus trabalhadores, da deficitária e branda aplicabilidade normativa, ao lado da tentativa de maximizar seus lucros ignorando todo ordenamento jurídico existente.

O art. 5º, III, da Constituição da República Federativa do Brasil proíbe o trabalho forçado, dispondo que "ninguém será submetido a tortura nem a tratamento desumano ou degradante". No inciso XVIII trata da liberdade de exercício profissional: "é livre o exercício de qualquer trabalho, ofício ou profissão, atendidas as qualificações profissionais que a lei estabelecer". Por fim, no inciso XLVII, alínea "c", proíbe a adoção de pena de trabalhos forçados.

No âmbito infraconstitucional, a Consolidação das Leis do Trabalho, com a finalidade de restringir e punir os empregadores que por ventura venham violar as condições dignas de trabalho e portanto submeter seus empregados às condições precárias, estabelece: (art. 47. e 55); multa ao empregador que mantiver empregado não registrado; (art. 120); multa ao empregador que infringir qualquer dispositivo concernente ao salário mínimo; (art. 75); multa ao empregador que violar as condições de estabelecidas no tocante à jornada de trabalho; (art. 153); penalidade para as infrações pertinentes às férias anuais remuneradas.

Ainda na esfera legislativa infraconstitucional, o Código Penal brasileiro em seu artigo 149, tipifica o crime de redução de alguém à condição análoga à de escravo: "Reduzir alguém a condição análoga à de escravo, quer submetendo-o a trabalho forçados ou a jornada exaustiva, quer sujeitando-o a condições degradantes de trabalho, quer restringindo, por qualquer meio sua locomoção em razão de dívida contraída com o empregador ou preposto". Já no artigo 197 do código em epígrafe, está tipificado o crime de atentado contra a liberdade de trabalho: "Constranger alguém, mediante violência ou Grave ameaça". Em seguida o Código Penal tipifica o artigo 203 o crime de frustração de direito assegurado por lei trabalhista. Finaliza este diploma normativo com o artigo 207, tipificando o crime de aliciamento de trabalhadores de um local para outro do território nacional.

Verifica-se, portanto, larga plêiade de mecanismos existentes na legislação pátria. Todavia, seus fundamentos normativos estão inseridos em um contexto universal, que tem como primado a garantia e a promoção dos Direitos Humanos. Assim, entre as várias convenções, tratados e diretrizes internacionais postas a partir do primeiro tratado internacional proibindo a escravidão, firmado pela Liga das Nações Unidas em 1926, podemos citar, destacadamente, a Declaração Universal dos Direitos Humanos de 1948 que, em seu artigo 4º, determina: "ninguém será mantido em escravidão ou em servidão; a escravidão e o tráfico de escravos serão proibidos em todas as suas formas". Tais princípios e condutas devem ser adotados por todos os países, não dependendo da ratificação de suas convenções, estabelecidos na 86ª sessão da Conferência Internacional do Trabalho, realizada pela OIT (2009) no ano de 1998 enfatizando a "eliminação de todas as formas de trabalho forçado e obrigatório".


4. CONSIDERAÇÕES ACERCA DA PEC 438

Com iniciativa do senador Ademir Andrade (PSB-PA) em 2001 foi proposta a Emenda Constitucional 438, que dá nova redação ao art. 243 da CR, tendo como principal fundamento a propositura de sanções severas para os criminosos proprietários rurais que mantiverem trabalhadores em condições análogas à de escravo, estabelecendo pena de perda da gleba onde for constatada a exploração de trabalho escravo (expropriação de terras), revertendo a área ao assentamento dos colonos que já trabalhavam na respectiva gleba.

Tal incorporação legislativa seria uma das saídas mais importantes para a erradicação do trabalho escravo contemporâneo no Brasil, pois a sanção dada aos infratores, além converter parte de seu patrimônio em beneficio das vítimas, fazendo com que a cada ilícito praticado o torne frágil economicamente e patrimonialmente, também iria resgatar a dignidade do trabalhador que fora ignorada, inserindo-o efetivamente em seu meio de produção.

Fique sempre informado com o Jus! Receba gratuitamente as atualizações jurídicas em sua caixa de entrada. Inscreva-se agora e não perca as novidades diárias essenciais!
Os boletins são gratuitos. Não enviamos spam. Privacidade Publique seus artigos

Todavia, face a falta de interesse de nossos representantes em alterar tal cenário, a PEC 438/2001, após várias propostas de alterações, mesmo tendo instituições não governamentais relacionadas ao tema construído uma forte mobilização para garantir a aprovação da Emenda, encontra-se à espera de votação no Plenário da Câmara dos Deputados há quase seis anos após aprovação em primeiro turno em agosto de 2004, com possibilidades remotas de ser efetivamente incorporada ao texto constitucional.

Em entrevista concedida à ONG Repórter Brasil, o deputado líder do PSDB na Câmara, João Almeida (BA), perguntado sobre a PEC do Trabalho Escravo, admitiu que "desconhece" a proposta, até porque, conforme sua assessoria, a emenda não foi colocada em debate nas reuniões de lideranças das quais participou. O que causa grande estranheza é que o próprio parlamentar no ano de 2004 fez parte, como suplente, da comissão especial que tratou justamente da PEC 438/2001.

Cabe enfatizar que o trabalho que não atenda às condições mínimas de dignidade humana, tal como o "trabalho escravo contemporâneo", afeta não apenas a população local que está diretamente sendo violada, mas toda a universalidade, já que ignora toda história de lutas e conquistas dos trabalhadores frente à força do capitalismo, além de atentar contra a condição de existência, racionalidade e valorização do ser humano, pois, o insere em um ambiente propício a animais irracionais em um habitat de sobrevivência selvagem.

O trabalho valorizado, aquele que tem como base as condições mínimas de dignidade, não é algo peculiar a uma nação, mas sim condição valorativa que ultrapassa todas as fronteiras nacionais, perfazendo um dos grandes feitos da história da civilização, tendo como único objetivo a integração dos povos através do fundamento mais importante da contemporaneidade que é o da dignidade da pessoa humana.


5. O ALICIAMENTO E A "ESCRAVIDÃO"

A ONG Repórter Brasil, que acompanha o problema do trabalho escravo contemporâneo desde 2001, informando à sociedade e desenvolvendo projetos que contribuem para a erradicação dessa prática, detalhou de forma exemplificativa as possíveis e mais frequentes situações em que ocorre o chamado "aliciamento", tornando o homem livre um escravo:

  1. Ao ouvir rumores de que existe serviço farto em fazendas, mesmo em terras distantes, o trabalhador ruma para esses locais. O Tocantins e a região Nordeste, tendo à frente os Estados do Maranhão e Piauí, são grandes fornecedores de mão-de-obra.

  2. Alguns vão espontaneamente. Outros são aliciados por "gatos" (contratadores de mão-de-obra a serviço do fazendeiro). Estes, muitas vezes, vêm buscá-los de ônibus, de caminhão - o velho pau-de-arara - ou, para fugir da fiscalização da Polícia Rodoviária Federal, pagam passagens para os trabalhadores em ônibus ou trens de linha.

  3. O destino principal é a região de expansão agrícola, onde a floresta amazônica tomba diariamente para dar lugar a pastos e plantações. Os estados do Pará e Mato Grosso são os campeões em resgates de trabalhadores pelo Ministério do Trabalho e Emprego.

  4. Há os "peões do trecho" que deixaram sua terra um dia e, sem residência fixa, vão de trecho em trecho, de um canto a outro em busca de trabalho. Nos chamados "hotéis peoneiros", onde se hospedam à espera de serviço, são encontrados pelos gatos, que "compram" suas dívidas e os levam às fazendas. A partir daí, os peões tornam-se seus devedores e devem trabalhar para abater o saldo. Alguns seguem contrariados, por estarem sendo negociados. Mas há os que vão felizes, pois acreditam ter conseguido um emprego que possibilitará honrar seus compromissos e ganhar dinheiro.

  5. Já na chegada, o peão vê que a realidade é bem diferente. A dívida que tem por conta do transporte aumentará em um ritmo crescente, uma vez que o material de trabalho pessoal, como botas, é comprado na cantina do próprio gato, do dono da fazenda ou de alguém indicado por eles. Os gastos com refeições, remédios, pilhas ou cigarros vão sendo anotados em um "caderninho", e o que é cobrado por um produto dificilmente será o seu preço real. Um par de chinelos pode custar o triplo. Além disso, é costume do gato não informar o montante, só anotar. Uma foice, que é um instrumento de trabalho e, portanto, deveria ser fornecido gratuitamente pelo empregador, já foi comprada por um peão por R$ 12,00 do gato. O equipamento mínimo de segurança também não costuma existir.

  6. Após meses de serviço, o trabalhador não vê nada de dinheiro. Sob a promessa de que vai receber tudo no final, ele continua a derrubar a mata, aplicar veneno, erguer cercas, catar raízes e outras atividades agropecuárias, sempre em situações degradantes e insalubres. Cobra-se pelo uso de alojamentos sem condições de higiene.

  7. No dia do pagamento, a dívida do trabalhador é maior do que o total que ele teria a receber. O acordo verbal com o gato também costuma ser quebrado, e o peão ganha um valor bem menor que o combinado inicialmente. Ao final, quem trabalhou meses sem receber nada acaba devedor do gato e do dono da fazenda e tem de continuar a suar para quitar a dívida. Ameaças psicológicas, força física e armas também podem ser usadas para mantê-lo no serviço.

Verificam-se, basicamente, três fatores que propiciam maior fragilidade ao trabalhador, favorecendo a "nova" escravidão:

  • Servidão por dívida

  • Isolamento geográfico

  • Confinamento armado

Sendo que este último fator apresentado é utilizado no intuito de vigilância na execução das tarefas, bem como mais um poderoso meio de intimidar os trabalhadores que porventura se arriscam em abandonar o local de trabalho.

Para fins demonstrativos, mister registrar, através da Reportagem de Bianca Pyl, a Fiscalização Rural que resultou na libertação de 24 pessoas realizada no mês de março de 2010, no Município de Bom Jesus, Rio Grande do Sul.

[...] durante inspeção de rotina no município de Bom Jesus (RS), auditores fiscais do grupo rural de fiscalização da Superintendência Regional do Trabalho e Emprego do Rio Grande do Sul (SRTE/RS) encontraram 24 trabalhadores, incluindo 5 mulheres, em situação análoga à escravidão. A ação foi realizada com a participação da Polícia Rodoviária Federal (PRF) e do Ministério Público do Trabalho (MPT). (PYL, 2009).

O grupo foi contratado no mês de fevereiro por uma aliciadora - identificada apenas como "Maria" - para trabalhar na colheita de batata. As vítimas foram arregimentadas em Vargem Grande do Sul (SP), interior de São Paulo, mas migraram de localidades do Maranhão, Sergipe e Minas Gerais.

O empregador infringiu a Instrução Normativa nº 76 de 2009, que determina que a Certidão Declaratória seja emitida ainda no local de origem do empregado. "A certidão é uma garantia do trabalhador. Sem ela, pode acontecer de ele ser contratado por um "gato" para trabalhar em outro Estado e quando chegar ao local ficar sabendo que não há emprego algum ou que o fazendeiro desistiu da contratação ou até mesmo virar escravo" exemplifica Marilise Soares De Zotti, coordenadora do grupo rural da SRTE/RS.

Os empregados haviam sido conduzidos de ônibus sem autorização para viagens interestaduais até Rondinha, zona rural de Bom Jesus (RS). No local, não existia alojamento e os trabalhadores foram levados até uma casa alugada onde dormiam em colchões velhos colocados diretamente no chão. "O local não tinha condições de ser habitado pelo péssimo estado de conservação, além da sujeira. A cozinha ficava praticamente a céu aberto", relata Marilise.

Todos dividiam somente dois banheiros. "Não havia divisões por gênero, as mulheres e homens utilizavam os mesmos espaços para dormir e tomar banho", conta a procuradora Priscila Boaroto. A instalação elétrica apresentava problemas e os fios estavam expostos, aumentando o risco de acidentes.

Não havia água potável nem sanitários nas frentes de trabalho. "Os empregados levavam água da torneira, sem nenhum processo de filtragem, em garrafas de uso coletivo. As mesmas garrafas eram usadas o dia todo, em um calor de 30º [Celsius]", complementa Priscila. De acordo com ela, a alimentação era fornecida pela aliciadora. "Segundo depoimentos, fazia parte do acordo fornecer alimentação. Por isso, não havia dívidas".

Os colhedores não tinham Equipamentos de Proteção Individual (EPI) e as batatas colhidas eram colocadas em sacos de fungicidas. O acordo entre o contratante e os trabalhadores era de que o pagamento seria por produção. Cada empregado receberia R$ 14 por sacola colhida, dos quais R$ 4 eram da aliciadora. Os empregados excediam a jornada máxima permitida por lei, que é de 8h diárias (com mais duas horas extras) e 44h semanais.

O empregador Paulo Cézar Segala arrendou a terra que, segundo a procuradora do trabalho, é de pequeno porte. Paulo não tinha sequer inscrição na Previdência Social. Os auditores fizeram o Cadastro Específico (CEI) do Instituto Nacional de Seguro Social (INSS) no momento da fiscalização. Outros dois empregados de Paulo que moravam na região e não estavam submetidos à condições de trabalho escravo e tiveram suas Carteiras de Trabalho e da Previdência Social (CTPS) assinadas pelo empregador com data retroativa.

O produtor rural assinou Termo de Ajuste de Conduta (TAC), proposto pelo MPT, no qual se compromete a cumprir uma série de obrigações. Entre elas a de não contratar empregados por intermédio de outras pessoas e sem registro na carteira, além de cumprir a Norma Regulamentadora (NR) 31 que trata sobre a segurança e a saúde do trabalhador rural. O acordo prevê multa de R$ 30 mil por obrigação descumprida.

Foram lavrados 13 autos de infração e o "alojamento" foi interditado. Durante a fiscalização, as vítimas foram transferidas para pousadas da região, onde havia camas, banheiros e refeições em número suficiente. As vítimas receberam as verbas referentes à rescisão do contrato de trabalho (mais de R$ 28 mil, no total), além de R$ 100 por dano moral individual. Elas terão direito a três parcelas do Seguro-Desemprego para o Trabalhador Resgatado. O grupo retornou para a São Paulo em 9 de março, em ônibus alugado pelo empregador. A viagem foi acompanhada por agentes da PRF". (PYL, 2009).

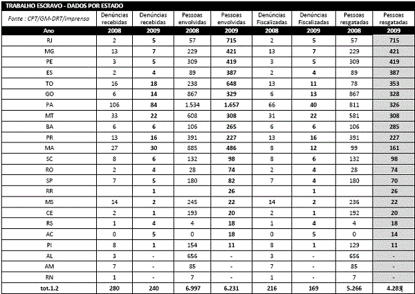
Conforme pesquisa divulgada no ano de 2009 pela Comissão da Pastoral da Terra (uma das entidades civis mais importantes no combate ao trabalho escravo), verifica-se quantitativamente no tocante a cada unidade federada a seguinte estatística:

Fonte: Comissão da Pastoral da Terra

Assuntos relacionados
Sobre o autor
André Henrique de Almeida

Pós-graduando em Direito do Trabalho. Mestrando em Direito do Trabalho-DI . Graduação em Direito pela PUC Minas . Assistente Jurídico do Sindicato dos Trabalhadores em Assistência Técnica e Extensão Rural do Estado de Minas Gerais (SINTER-MG). Tutor responsável pela Especialização em Direito e Processo do Trabalho da PUC Minas.

Como citar este texto (NBR 6023:2018 ABNT)

ALMEIDA, André Henrique. Condições análogas a escravo: normatização e efetividade. Revista Jus Navigandi, ISSN 1518-4862, Teresina, ano 16, n. 2881, 22 mai. 2011. Disponível em: https://jus.com.br/artigos/19167. Acesso em: 27 jan. 2026.

Leia seus artigos favoritos sem distrações, em qualquer lugar e como quiser

Assine o JusPlus e tenha recursos exclusivos

  • Baixe arquivos PDF: imprima ou leia depois
  • Navegue sem anúncios: concentre-se mais
  • Esteja na frente: descubra novas ferramentas
Economize 17%
Logo JusPlus
JusPlus
de R$
29,50
por

R$ 2,95

No primeiro mês

Cobrança mensal, cancele quando quiser
Assinar
Já é assinante? Faça login
Publique seus artigos Compartilhe conhecimento e ganhe reconhecimento. É fácil e rápido!
Colabore
Publique seus artigos
Fique sempre informado! Seja o primeiro a receber nossas novidades exclusivas e recentes diretamente em sua caixa de entrada.
Publique seus artigos